Explore one of the most extensive oligo modification libraries in the industry. This list reflects the broad range of chemical modifications we routinely support for custom oligo synthesis, designed to meet diverse research, diagnostic and therapeutic needs.
| Synoligo Code | Description | Formula Weight | E260 nm | 5′ Mod | Internal Mod | 3′ Mod |
|---|---|---|---|---|---|---|
| -Butyl | A suffix used together with other code indicating a butyl phosphoramidate backbone, e.g., dA-Butyl | 119.18 | 0 | Yes | Yes | No |
| -Mesyl | A suffix used together with other code indicating a mesyl phosphoramidate backbone, e.g., dA-Mesyl | 76.99 | 0 | Yes | Yes | No |
| -PN1 | A suffix used together with other code indicating a guanidine-based backbone, e.g., dA-PN1 | 95.08 | 0 | Yes | Yes | No |
| -P34S | A stable isotopic label incorporating 34S into phosphorothioate (PS) linkages for use as an internal standard for therapeutic oligos. | +1.91
c.f. PO backbone | 0 | Yes | Yes | No |
| -P18O | A stable isotopic label incorporating 18O into phosphodiester (PO) linkages for use as an internal standard for therapeutic oligos. |
+2.00 c.f. PO backbone | 0 | Yes | Yes | No |
| N | an equal molar mix of DNA bases (A,C,G,T) | 308.95 | 10,750 | Yes | Yes | Yes |
| M | an equal molar mix of DNA bases (A,C) | 301.20 | 11,400 | Yes | Yes | Yes |
| R | an equal molar mix of DNA bases (A,G) | 321.21 | 13,450 | Yes | Yes | Yes |
| W | an equal molar mix of DNA bases (A,T) | 308.70 | 12,050 | Yes | Yes | Yes |
| S | an equal molar mix of DNA bases (G,C) | 309.20 | 9,450 | Yes | Yes | Yes |
| Y | an equal molar mix of DNA bases (C,T) | 296.69 | 8,050 | Yes | Yes | Yes |
| K | an equal molar mix of DNA bases (G,T) | 316.70 | 10,100 | Yes | Yes | Yes |
| V | an equal molar mix of DNA bases (A,C,G) | 310.53 | 11,433 | Yes | Yes | Yes |
| H | an equal molar mix of DNA bases (A,C,T) | 302.20 | 10,500 | Yes | Yes | Yes |
| D | an equal molar mix of DNA bases (A,G,T) | 315.54 | 11,867 | Yes | Yes | Yes |
| B | an equal molar mix of DNA bases (G,C,T) | 307.53 | 9,200 | Yes | Yes | Yes |
| rN | an equal molar mix of RNA bases (rA,rC,rG,rU) | 321.44 | 11,000 | Yes | Yes | Yes |
| rM | an equal molar mix of RNA bases (rA,rC) | 317.20 | 11,300 | Yes | Yes | Yes |
| rR | an equal molar mix of RNA bases (rA,rG) | 337.21 | 13,450 | Yes | Yes | Yes |
| rW | an equal molar mix of RNA bases (rA,rU) | 317.69 | 12,650 | Yes | Yes | Yes |
| rS | an equal molar mix of RNA bases (rG,rC) | 325.20 | 9,350 | Yes | Yes | Yes |
| rY | an equal molar mix of RNA bases (rC,rU) | 305.67 | 8,550 | Yes | Yes | Yes |
| rK | an equal molar mix of RNA bases (rG,rU) | 325.69 | 10,700 | Yes | Yes | Yes |
| rV | an equal molar mix of RNA bases (rA,rC,rG) | 326.53 | 11,367 | Yes | Yes | No |
| rH | an equal molar mix of RNA bases (rA,rC,rU) | 313.52 | 10,833 | Yes | Yes | No |
| rD | an equal molar mix of RNA bases (rA,rG,rU) | 326.86 | 12,267 | Yes | Yes | Yes |
| rB | an equal molar mix of RNA bases (rG,rC,rU) | 318.85 | 9,533 | Yes | Yes | Yes |
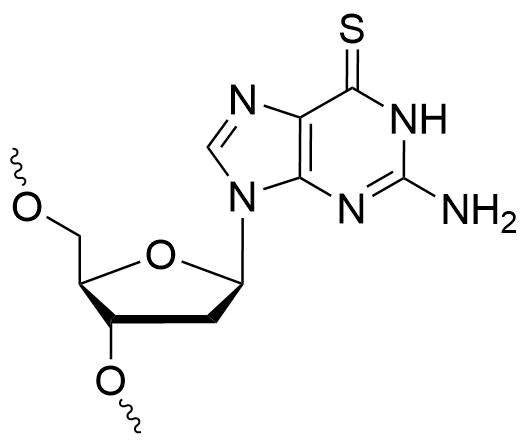
| 1Me-psd-dU | N1-methyl pseudo dU | 304.19 | 8,700 | Yes | Yes | Yes |
| 1Me-psd-rU | N1-methyl pseudo ribo uridine | 320.19 | 8,100 | Yes | Yes | Yes |
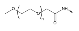
| 20kDa-PEG | PEG 20K NHS | 20,000.00 | 0 | Yes | Yes | Yes |
| 2’5’dA | 3′-deoxy A | 313.21 | 15,400 | Yes | Yes | Yes |
| 2’5’dC | 3′-deoxy C | 289.18 | 7,400 | Yes | Yes | Yes |
| 2’5’dG | 3′-deoxy G | 329.21 | 11,500 | Yes | Yes | Yes |
| 2’5’dT | 3′-deoxy T | 304.19 | 8,700 | Yes | Yes | Yes |
| 2’5’mA | 3′-OMe A | 343.24 | 15,400 | Yes | Yes | Yes |
| 2’5’mC | 3′-OMe C | 319.21 | 7,200 | Yes | Yes | Yes |
| 2’5’mG | 3′-OMe G | 359.23 | 11,500 | Yes | Yes | Yes |
| 2’5’mU | 3′-OMe U | 320.19 | 9,900 | Yes | Yes | Yes |
| 2’5’rA | 3′-ribo A | 329.21 | 15,400 | Yes | Yes | Yes |
| 2’5’rC | 3′-ribo C | 305.18 | 7,200 | Yes | Yes | Yes |
| 2’5’rG | 3′-ribo G | 345.21 | 11,500 | Yes | Yes | Yes |
| 2’5’rU | 3′-ribo U | 306.17 | 9,900 | Yes | Yes | Yes |
| 2NH2-rA | 2′-amino A | 328.23 | 15,400 | Yes | Yes | Yes |
| 2NH2-rC | 2′-amino C | 304.20 | 7,200 | Yes | Yes | Yes |
| 2NH2-rG | 2′-amino G | 344.22 | 11,500 | Yes | Yes | Yes |
| 2NH2-rU | 2′-amino U | 305.18 | 9,900 | Yes | Yes | Yes |
| 2’NH2-Methacrylate-A | 2′-amino-A, methacrylate adduct | 396.30 | 15,400 | Yes | Yes | No |
| 2’NH2-Methacrylate-C | 2′-amino-C, methacrylate adduct | 372.27 | 7,200 | Yes | Yes | No |
| 2’O-C16-A | 2′-O-Hexadecyl A | 553.64 | 15,400 | Yes | Yes | Yes |
| 2’O-C16-C | 2′-O-Hexadecyl C | 529.61 | 7,200 | Yes | Yes | Yes |
| 2’O-C16-G | 2′-O-Hexadecyl G | 569.64 | 11,500 | Yes | Yes | Yes |
| 2’O-C16-U | 2′-O-Hexadecyl U | 530.60 | 9,900 | Yes | Yes | Yes |
| 2’O-C22-A | 2′-O-C22 A | 637.80 | 15,400 | Yes | Yes | Yes |
| 2’O-C22-C | 2′-O-C22 C | 613.78 | 7,200 | Yes | Yes | Yes |
| 2’O-C22-G | 2′-O-C22 G | 653.80 | 11,500 | Yes | Yes | Yes |
| 2’O-C22-U | 2′-O-C22 U | 614.76 | 9,900 | Yes | Yes | Yes |
| 2’O-C3NH2-A | 2′-O-aminopropyl A | 386.30 | 15,400 | Yes | Yes | Yes |
| 2’O-C3NH2-C | 2′-O-aminopropyl C | 362.28 | 7,200 | Yes | Yes | Yes |
| 2’O-C3NH2-G | 2′-O-aminopropyl G | 402.30 | 11,500 | Yes | Yes | Yes |
| 2’O-C3NH2-U | 2′-O-aminopropyl U | 363.26 | 9,900 | Yes | Yes | Yes |
| 2’O-prg-A | 2′-O-propargyl A | 367.26 | 15,400 | Yes | Yes | Yes |
| 2’O-prg-C | 2′-O-propargyl C | 343.23 | 7,200 | Yes | Yes | Yes |
| 2’O-prg-G | 2′-O-propargyl G | 383.26 | 11,500 | Yes | Yes | Yes |
| 2’O-prg-U | 2′-O-propargyl U | 344.21 | 9,900 | Yes | Yes | Yes |
| 3′-6FAM | 3′ (6-FAM) Fluorescein with 1,3-diol linker, same as Int-FAM | 567.13 | 21,000 | No | No | Yes |
| 3’AmC3 | 3′ amino C3 modifier | 153.07 | 0 | No | No | Yes |
| 3’Azide-PyC4 | 3′ Azide Pyrrolidine C4 | 290.21 | 0 | No | No | Yes |
| 3Biotin | 3′ Biotin with glycerin linker | 437.44 | 0 | No | No | Yes |
| 3Cy3 | 3′ Cyanine 3 , same as Cy3 | 507.59 | 4,930 | No | No | Yes |
| 3Cy5 | 5′ Cyanine 5, same as Cy5 | 533.63 | 10,000 | No | No | Yes |
| 3Dabcyl | 3′ Dabcyl | 462.44 | 11,100 | No | No | Yes |
| 3-deaza-3-Me-dA | 3-deaza-3-Me deoxy A | 326.25 | 15,400 | Yes | Yes | Yes |
| 3Ferrocene | 3′ Ferrocene | 365.10 | 0 | No | No | Yes |
| 3′-Fluorescein | 3′ Fluorescein with thiourea AmC7 (1,3-diol) linker, same as Int-Fluorescein | 598.56 | 21,000 | No | No | Yes |
| 3Hexynyl | 3′ Hexynyl | 273.22 | 0 | No | No | Yes |
| 3MGB | CDPI3 MGB | 831.87 | 37,900 | No | No | Yes |
| 3’NH2-dA | 3′-amino-2′-deoxy A | 312.23 | 15,400 | Yes | Yes | Yes |
| 3’NH2-dC | 3′-amino-2′-deoxy C | 288.20 | 7,400 | Yes | Yes | Yes |
| 3’NH2-dG | 3′-amino-2′-deoxy G | 328.23 | 11,500 | Yes | Yes | Yes |
| 3’NH2-dT | 3′-amino-2′-deoxy T | 303.21 | 8,700 | Yes | Yes | Yes |
| 3’NH2-fA | 3′-amino fA | 330.22 | 15,400 | Yes | Yes | Yes |
| 3’NH2-fC | 3′-amino fC | 306.19 | 7,200 | Yes | Yes | Yes |
| 3’NH2-fG | 3′-amino fG | 346.22 | 11,500 | Yes | Yes | Yes |
| 3’NH2-fU | 3′-amino fU | 307.17 | 9,900 | Yes | Yes | Yes |
| 3’NH2-mA | 3′-amino mA | 342.25 | 15,400 | Yes | Yes | Yes |
| 3’NH2-mC | 3′-amino mC | 318.23 | 7,200 | Yes | Yes | Yes |
| 3’NH2-mG | 3′-amino mG | 358.25 | 11,500 | Yes | Yes | Yes |
| 3’NH2-mU | 3′-amino mU | 319.21 | 9,900 | Yes | Yes | Yes |
| 3Nitro-Pyrrole | 2′-deoxy 3-nitropyrrole | 290.17 | 7,700 | Yes | Yes | Yes |
| 3Palm | 3′ Palmitate-AmC7 (1,3-diol based) | 447.60 | 0 | No | No | Yes |
| 3’prg-5MedC | 3′-Propargyl-2′-deoxy 5-Me C | 341.26 | 7,400 | No | No | Yes |
| 3Puromycin | Puromycin | 533.48 | 15,400 | No | No | Yes |
| 3’thio-dI | 3′-Thio-2′-deoxy Inosine | 330.26 | 7,500 | Yes | Yes | Yes |
| 40kDa-PEG | 40kDa Y arm NHS ester | 40,000.00 | 0 | Yes | Yes | Yes |
| 40kDa-PEG-F | 40kDa Forked arm NHS ester | 40,000.00 | 0 | Yes | Yes | Yes |
| 4-Cl-3-TFMP-Isocyanate | 4-chloro-3-trifluoromethylphenyl isocyanate | 221.56 | 0 | Yes | Yes | Yes |
| 4thio-dT | 4-Thio 2′-deoxy T | 320.26 | 8,700 | Yes | Yes | Yes |
| 4thio-dU | 4-Thio 2′-deoxy U | 306.23 | 8,700 | Yes | Yes | Yes |
| 4thio-rU | 4-Thio ribo U | 322.22 | 9,900 | Yes | Yes | Yes |
| 5-6ROX-N | 6-ROX NHS ester (only 6 isomer) | 516.58 | 22,600 | Yes | Yes | Yes |
| 5Acrydite | Acrydite (Methacrylate C6) | 247.23 | 0 | Yes | No | No |
| 5’AmC3 | 5′ amino-C3 modifier | 137.08 | 0 | Yes | No | No |
| 5’BHQ-1 | 5′ BHQ-1 | 538.49 | 8,000 | Yes | No | No |
| 5’BHQ-2 | 5′ BHQ-2 | 540.47 | 8,000 | Yes | No | No |
| 5Biotin | 5′ Biotin C6 linker | 405.45 | 0 | Yes | No | No |
| 5Br-dC | 5-Br-deoxy C | 368.08 | 7,400 | Yes | Yes | Yes |
| 5Br-dU | 5-Br-deoxy U | 369.07 | 8,700 | Yes | Yes | Yes |
| 5Carboxy-dC | 5-carboxy-deoxy C | 333.19 | 7,400 | Yes | Yes | Yes |
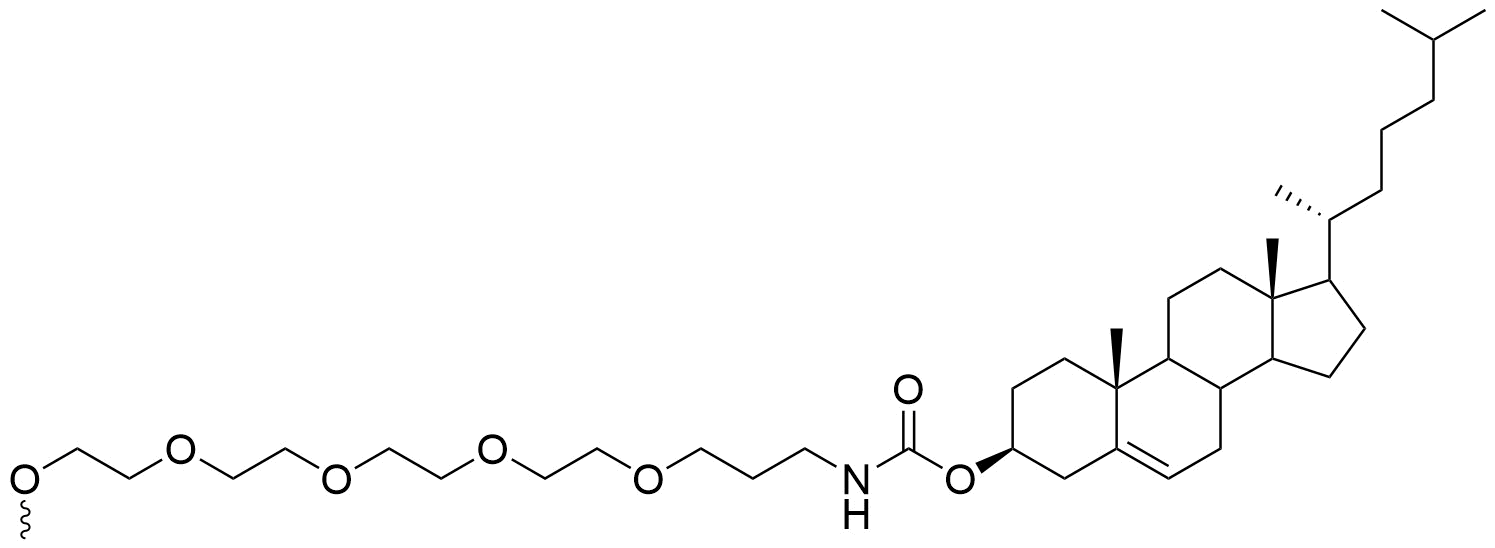
| 5Chol-PEG | 5′ Cholesterol Penta ethylene glycol | 725.95 | 0 | Yes | No | No |
| 5Chol-TEG | 5′ Cholesterol tetra ethylene glycol | 681.90 | 0 | Yes | No | No |
| 5Dabcyl | 5′ Dabcyl | 430.18 | 11,100 | Yes | No | No |
| 5Ethynyl-dU | 5-Ethynyl-deoxy U | 314.19 | 8,700 | Yes | Yes | Yes |
| 5Ethynyl-rU | 5-Ethynyl-ribo U | 330.19 | 9,900 | Yes | Yes | Yes |
| 5F-dC | 5-F deoxy C | 307.18 | 8,700 | Yes | Yes | Yes |
| 5F-dU | 5-F-deoxy U | 308.16 | 8,700 | Yes | Yes | Yes |
| 5Formyl-dC | 5-Formyl-deoxy C | 317.19 | 7,400 | Yes | Yes | Yes |
| 5F-rU | 5-F-ribo U | 324.16 | 9,900 | Yes | Yes | Yes |
| 5Hydroxy-dU | 5-OH-deoxy U | 306.17 | 8,700 | Yes | Yes | Yes |
| 5Hydroxymethyl-dC | 5-Hydroxymethyl deoxy C | 319.21 | 7,400 | Yes | Yes | Yes |
| 5I-dC | 5-I-deoxy C | 415.08 | 7,400 | Yes | Yes | Yes |
| 5I-dT | 5′-I-deoxy T | 414.09 | 8,700 | Yes | No | No |
| 5I-dU | 5-I-deoxy U | 416.07 | 8,700 | Yes | Yes | Yes |
| 5’Mal | 5′ Maleimide Modifier (Diels-AlderProtected Form) | 299.22 | 0 | Yes | No | No |
| 5Me-BNA-C | 2′,4′-BNA 5-methyl C | 360.26 | 7,200 | Yes | Yes | Yes |
| 5Me-cetC | cEt 5-methyl C | 345.25 | 7,200 | Yes | Yes | Yes |
| 5Me-dC | 5-Me-deoxy C | 303.21 | 7,400 | Yes | Yes | Yes |
| 5Me-dCs | 5-Me-deoxy C dithiophosphate | 319.27 | 7,400 | Yes | Yes | Yes |
| 5Me-dZebularine | 5-Me-2′-deoxyZebularine | 288.19 | 7,400 | Yes | Yes | Yes |
| 5Me-LNA-C | LNA-5-methyl C | 331.22 | 7,200 | Yes | Yes | Yes |
| 5Me-mC | 5-Me-mC | 333.24 | 7,200 | Yes | Yes | Yes |
| 5Me-moeC | 5-Me-moeC | 377.29 | 7,200 | Yes | Yes | Yes |
| 5Me-nmaC | 2′-O NMA 5-Me C | 390.29 | 7,200 | Yes | Yes | Yes |
| 5Me-rC | 5-Me-rC | 319.21 | 7,200 | Yes | Yes | Yes |
| 5Me-rU | 5-Me-rU | 320.19 | 9,900 | Yes | Yes | Yes |
| 5MGB | 5′-CDPI3 MGB | 872.96 | 37,900 | Yes | No | No |
| 5’N3-dT | 5′-azido-dT | 329.09 | 8,700 | Yes | No | No |
| 5’NH2-Methacrylate-mG | 5′-amino-mG, methacrylate adduct | 426.33 | 11,500 | Yes | No | No |
| 5’NH2-mG | 5′-Amino mG | 359.26 | 11,500 | Yes | Yes | Yes |
| 5’SQ-1 | 5′ SQ-1 | 538.49 | 8,000 | Yes | No | No |
| 5’SQ-2 | 5′ SQ-2 | 540.47 | 8,000 | Yes | No | No |
| 5Nitro-indole | 2′-deoxy-5-Nitroindole | 340.23 | 16,000 | Yes | Yes | Yes |
| 5Oct-dU | C8-Alkyne-dU, 5-Octadiynyl dU | 394.32 | 8,700 | Yes | Yes | Yes |
| 5OHbutynl-dU | Super T, 5-(4-hydroxybut-1-yn-1-yl)-dU | 358.24 | 3,800 | Yes | Yes | Yes |
| 5’OMe-dT | 5′-O-Me dT | 318.22 | 15,400 | Yes | No | No |
| 5Palm | 5′-Palmitate with C6 linker | 417.56 | 0 | Yes | No | No |
| 5-propar-dU | 5-Propargyloxy dU | 344.21 | 8,700 | Yes | Yes | Yes |
| 5’rAPP | 5′ Adenylation | 410.20 | 15,400 | Yes | No | No |
| 5TauMe-2Thio-rU | 5-taurinomethyl-2-thio rU | 559.55 | 9,900 | Yes | Yes | Yes |
| 5VIC | 5′ VIC with C6 linker | 716.89 | 97,000 | Yes | No | No |
| 5VPfA | 5′-VP-2′-F A | 407.19 | 15,400 | Yes | Yes | Yes |
| 5VPfU | 5′-VP-2′-F U | 384.15 | 9,900 | Yes | No | No |
| 5VPmA | 5′-VP-mA | 419.22 | 15,400 | Yes | No | No |
| 5VPmC | 5′-VP-mC | 395.20 | 7,200 | Yes | No | No |
| 5VPmG | 5′-VP-mG | 435.22 | 11,500 | Yes | No | No |
| 5VPmoeT | 5′-VP-moe T | 454.26 | 9,900 | Yes | No | No |
| 5VPmU | 5′-VP-mU | 396.19 | 9,900 | Yes | No | No |
| 5VPrU | 5′-VP-rU | 355.19 | 9,900 | Yes | No | No |
| 5VPTnam | 5′-VP-Tnam | 467.26 | 8,700 | Yes | No | No |
| 6-Aza-dU | 6-Aza-dU | 291.16 | 8,700 | Yes | Yes | Yes |
| 6-FAM | 5′ Fluorescein with C6 linker | 537.46 | 20,960 | Yes | No | No |
| 6FAM-N | 6FAM NHS | 358.30 | 20,960 | Yes | Yes | Yes |
| 6FAM-Serinol | 6-Fluorescein with Serinol linker | 569.46 | 20,900 | Yes | Yes | Yes |
| 6-HEX-N | 6-HEX NHS | 564.97 | 31,600 | Yes | Yes | Yes |
| 6-ROX-Mal | 6-ROX-C2-Maleimide | 656.73 | 22,600 | Yes | Yes | Yes |
| 6thio-dG | 6-Thiol-dG | 345.26 | 11,500 | Yes | Yes | Yes |
| 6thio-rG | 6-Thio-rG | 361.26 | 11,500 | Yes | Yes | Yes |
| 7-amido-7-deaza-dG | 7-amido-7-deaza-dG | 371.24 | 11,500 | Yes | Yes | Yes |
| 7-de-8-aza-dA | 7-deaza-8-aza-dA | 313.21 | 15,400 | Yes | Yes | Yes |
| 7-de-8-aza-dG | 7-Deaza-8-aza-dG | 329.20 | 11,500 | Yes | Yes | Yes |
| 7-deaza-7-Me-dG | 7-deaza-7-Me-dG | 342.24 | 11,500 | Yes | Yes | Yes |
| 7-de-dA | 7-deaza dA | 312.22 | 15,400 | Yes | Yes | Yes |
| 7-de-dG | 7-deaza-dG | 328.22 | 0 | Yes | Yes | Yes |
| 7-de-mA | 7-deaza-2′-O-Methyl Adenosine | 278.08 | 15,400 | Yes | Yes | Yes |
| 7-de-mG | 7-deaza-2′-O-Methyl Guanosine | 358.25 | 11,500 | Yes | Yes | Yes |
| 8-Am-dA | 8-amino-dA | 328.22 | 15,400 | Yes | Yes | Yes |
| 8-amino-dG | 8-amino dG | 344.22 | 0 | Yes | Yes | Yes |
| 8-Aza-NB | 8-Azanebularine | 315.18 | 15,400 | Yes | Yes | Yes |
| 8-Oxo-dA | 8-Oxo-dA | 329.21 | 15,400 | Yes | Yes | Yes |
| 8-Oxo-dG | 8-Oxo-dG | 345.21 | 11,500 | Yes | Yes | Yes |
| Abasic-II | DNA abasic, mixture of alpha and beta anomer | 196.10 | 0 | Yes | Yes | Yes |
| AF350 | Alexa Fluor 350 NHS | 295.26 | 4,750 | Yes | Yes | Yes |
| AF350-Mal | Alexa Fluor 350 MAL | 477.49 | 4,750 | Yes | Yes | Yes |
| AF405 | Alexa Fluor 405 NHS | 609.60 | 7,820 | Yes | Yes | Yes |
| AF488 | Alexa Fluor 488 NHS | 516.45 | 21,300 | Yes | Yes | Yes |
| AF488-Mal | Alexa Fluor 488 C5 Maleimide | 697.66 | 21,300 | Yes | Yes | Yes |
| AF514 | Alexa Fluor 514 | 598.90 | 24,800 | Yes | Yes | Yes |
| AF532 | Alexa Fluor 532 NHS | 608.68 | 19,440 | Yes | Yes | Yes |
| AF546 | Alexa Fluor 546 NHS | 943.32 | 23,520 | Yes | Yes | Yes |
| AF555 | Alexa Fluor 555 NHS | 815.80 | 12,000 | Yes | Yes | Yes |
| AF568 | Alexa Fluor 568 NHS | 676.71 | 41,085 | Yes | Yes | Yes |
| AF594 | Alexa Fluor 594 NHS | 704.76 | 38,700 | Yes | Yes | Yes |
| AF610-X | Alexa Fluor 610-X NHS | 967.35 | 56,760 | Yes | Yes | Yes |
| AF633N | Alexa Fluor 633 NHS | 907.30 | 0 | Yes | Yes | Yes |
| AF647 | Alexa Fluor 647 | 840.99 | 0 | Yes | Yes | Yes |
| AF647-Mal | Alexa Fluor 647 Maleimide | 982.13 | 0 | Yes | Yes | Yes |
| AF660 | Alexa Fluor 660 NHS | 763.00 | 0 | Yes | Yes | Yes |
| AF680 | Alexa Fluor 680 NHS | 844.00 | 0 | Yes | Yes | Yes |
| AF700 | Alexa Fluor 700 NHS | 970.79 | 0 | Yes | Yes | Yes |
| AF750 | Alexa Fluor 750 | 867.30 | 0 | Yes | Yes | Yes |
| AF750-Mal | Alexa Fluor 750 C5 Maleimide | 1,054.21 | 0 | Yes | Yes | Yes |
| Alkyne-PEG5-N | Alkyne-PEG5 NHS | 286.32 | 0 | Yes | Yes | Yes |
| Am5 | 5′ Amino Modifier 5, C2-O-C2 version | 167.10 | 0 | Yes | No | No |
| Am7 | Amino modifier 7, C3-O-Glycerin version | 211.15 | 0 | Yes | Yes | Yes |
| AmC12 | Amino Modifier C12 | 263.32 | 0 | Yes | No | No |
| AmC2-dT | Amino Modifier C2 dT | 402.30 | 8,700 | Yes | Yes | Yes |
| AmC6-dA | Amino-Modifier C6 dA | 427.40 | 15,400 | Yes | Yes | Yes |
| AmC6-dC | Amino-Modifier C6 dC | 457.42 | 7,400 | Yes | Yes | Yes |
| AmC6-dG | N2-Amino-Modifier C6 dG | 428.38 | 11,500 | Yes | Yes | Yes |
| AmC6-dT | Amino-modifier C6 dT | 458.41 | 8,700 | Yes | Yes | Yes |
| AmC6-rU | Amino-Modifier C6 rU | 474.40 | 9,900 | Yes | Yes | Yes |
| AmC7 | Amino-Modifier C7, 1,3-diol version | 209.18 | 0 | Yes | Yes | Yes |
| AmTEG | 5′ Amino modifier TEG | 255.21 | 0 | Yes | No | No |
| araA | arabinose A | 329.21 | 15,400 | Yes | Yes | Yes |
| araC | arabinose C | 305.18 | 7,200 | Yes | Yes | Yes |
| araG | arabinose G | 345.21 | 11,500 | Yes | Yes | Yes |
| araU | arabinose U | 306.17 | 9,900 | Yes | Yes | Yes |
| ATTO390-N | ATTO 390 NHS | 326.41 | 11,040 | Yes | Yes | Yes |
| ATTO425-N | ATTO 425 NHS | 383.40 | 12,150 | Yes | Yes | Yes |
| ATTO430LS-N | ATTO 430LS NHS | 548.70 | 13,120 | Yes | Yes | Yes |
| ATTO465-N | ATTO 465 NHS | 279.34 | 81,750 | Yes | Yes | Yes |
| ATTO488-N | ATTO 488 NHS | 572.59 | 19,800 | Yes | Yes | Yes |
| ATTO488-N3 | ATTO 488 azide | 789.00 | 19,800 | Yes | Yes | Yes |
| ATTO490LS-N | ATTO 490LS NHS | 655.80 | 14,800 | Yes | Yes | Yes |
| ATTO514-N | ATTO 514 NHS | 736.64 | 24,150 | Yes | Yes | Yes |
| ATTO520-N | ATTO 520 NHS | 348.50 | 44,000 | Yes | Yes | Yes |
| ATTO532-N | ATTO 532 NHS | 627.69 | 23,000 | Yes | Yes | Yes |
| ATTO542-N | ATTO 542 NHS | 893.00 | 21,600 | Yes | Yes | Yes |
| ATTO550-N | ATTO 550 NHS | 575.80 | 27,600 | Yes | Yes | Yes |
| ATTO565-N | ATTO 565 NHS | 492.56 | 32,400 | Yes | Yes | Yes |
| ATTO565-N3 | ATTO 565 azide | 710.00 | 32,400 | Yes | Yes | Yes |
| ATTO575Q-N | ATTO 575Q NHS | 592.00 | 34,800 | Yes | Yes | Yes |
| ATTO590-N | ATTO 590 NHS | 572.70 | 50,400 | Yes | Yes | Yes |
| ATTO594-N | ATTO 594 NHS | 787.90 | 31,200 | Yes | Yes | Yes |
| ATTO610-N | ATTO 610 NHS | 372.50 | 4,500 | Yes | Yes | Yes |
| ATTO620-N | ATTO 620 NHS | 494.65 | 4,800 | Yes | Yes | Yes |
| ATTO633-N | ATTO 633 NHS | 533.70 | 6,500 | Yes | Yes | Yes |
| ATTO643-N | ATTO 643 NHS | 815.00 | 7,500 | Yes | Yes | Yes |
| ATTO647-N | ATTO 647N NHS | 628.89 | 6,000 | Yes | Yes | Yes |
| ATTO655-N | ATTO 655 NHS | 509.60 | 30,000 | Yes | Yes | Yes |
| ATTO665-N | ATTO 665 NHS | 604.91 | 11,200 | Yes | Yes | Yes |
| ATTO700-N | ATTO 700 NHS | 547.70 | 31,200 | Yes | Yes | Yes |
| ATTO740-N | ATTO 740 NHS | 448.56 | 8,400 | Yes | Yes | Yes |
| ATTO-MB2-Mal | ATTO Methlyene Blue2 maleimide | 477.50 | 10,300 | Yes | Yes | Yes |
| ATTO-MB2-N | ATTO Methlyene Blue2 NHS | 338.45 | 0 | Yes | Yes | Yes |
| ATTO-Rho101-N | ATTO Rho 101 NHS | 571.98 | 21,600 | Yes | Yes | Yes |
| ATTO-Rho11-N | ATTO Rho 11 NHS | 547.70 | 31,200 | Yes | Yes | Yes |
| ATTO-Rho13-N | ATTO Rho13, NHS | 627.82 | 35,000 | Yes | Yes | Yes |
| ATTO-Rho6G-N | ATTO Rho 6G NHS | 495.60 | 25,300 | Yes | Yes | Yes |
| AzBen | Azobenzene | 375.32 | 0 | Yes | Yes | Yes |
| Azido-C2-N | Azidoacetic acid NHS | 83.05 | 0 | Yes | Yes | Yes |
| Azido-C4-N | Azido C4 NHS | 111.10 | 0 | Yes | Yes | Yes |
| Azido-C6-N | Azido C6 NHS | 139.16 | 0 | Yes | Yes | Yes |
| Azido-PEG3-Mal | Azido-PEG3-Maleimide | 369.37 | 0 | Yes | Yes | Yes |
| Azido-PEG3-N | Azido-PEG3-NHS | 229.23 | 0 | Yes | Yes | Yes |
| Azido-PEG4-N | Azido PEG4 NHS | 273.28 | 0 | Yes | Yes | Yes |
| BA | Butyric acid | 100.07 | 0 | Yes | No | No |
| BBQ650 | BBQ-650 amidite | 665.65 | 15,077 | Yes | No | No |
| BCN | 5′ endo-BCN | 343.32 | 0 | Yes | No | No |
| BCN-N | endo-BCN-NHS | 176.21 | 0 | Yes | Yes | Yes |
| BCN-1 | 5′-BCN CE-Phosphoramidite I | 226.21 | 0 | Yes | Yes | Yes |
| BCN-2 | BCN II | 343.32 | 0 | Yes | No | No |
| BCN-3 | endo-BCN-pentanoic acid | 275.35 | 0 | Yes | Yes | Yes |
| BCN-PEG2-Mal | Mal-NH-PEG2-BCN | 475.54 | 0 | Yes | Yes | Yes |
| BCN-PEG2-N | endo-BCN-PEG2-NHS | 335.58 | 0 | Yes | Yes | Yes |
| BCN-PEG3-N | endo-BCN-PEG3-NHS | 379.45 | 0 | Yes | Yes | Yes |
| BG-GLA-N | BG-GLA Snap-tag | 367.39 | 0 | Yes | Yes | Yes |
| BHQ-1 | 3′ BHQ-1 and internal BHQ-1 | 554.50 | 8,000 | Yes | Yes | Yes |
| BHQ-1-dT | BHQ-1 dT | 960.94 | 17,650 | Yes | Yes | Yes |
| BHQ-1-N | BHQ-1 NHS | 487.54 | 8,000 | Yes | Yes | Yes |
| BHQ-2 | BHQ-2 | 556.47 | 8,000 | Yes | Yes | Yes |
| BHQ-2-dT | BHQ-2 dT | 962.91 | 17,650 | Yes | Yes | Yes |
| BHQ-3 | BHQ-3 | 597.64 | 13,000 | Yes | Yes | Yes |
| BHQ-3-N | BHQ-3 NHS | 529.67 | 13,000 | Yes | Yes | Yes |
| BiotinBB | tert-butyl-benzoyl protected Biotin with glycerin linker | 437.45 | 0 | Yes | Yes | Yes |
| BHQ-3-DBCO | BHQ-3 DBCO | 956.14 | 13,000 | Yes | Yes | Yes |
| Biotin-dT | Biotin dT amdite | 684.70 | 8,700 | Yes | Yes | Yes |
| Biotin-PEG3-N | Biotin-PEG3-NHS | 430.54 | 0 | Yes | Yes | Yes |
| Biotin-PEG4-N | Biotin-PEG4-NHS | 474.59 | 0 | Yes | Yes | Yes |
| BiotinTEG | BiotinTEG | 569.61 | 0 | Yes | Yes | Yes |
| Bis-PEG5-N | NHS PEG5 NHS | 304.34 | 0 | Yes | Yes | Yes |
| BNA-A | 2′,4′-BNA A | 370.26 | 15,400 | Yes | Yes | Yes |
| BNA-G | 2′,4′-BNA G | 386.26 | 11,500 | Yes | Yes | Yes |
| BNA-T | 2′,4′-BNA T | 361.25 | 9,900 | Yes | Yes | Yes |
| C10-N | Decanoic acid NHS | 155.26 | 0 | Yes | Yes | Yes |
| C11 | Undecanyl | 234.28 | 0 | Yes | No | No |
| C12-N | Lauric acid NHS | 182.31 | 0 | Yes | Yes | Yes |
| C14 | Tetradecanyl | 276.36 | 0 | Yes | No | No |
| C18-N | C18-NHS, Stearic acid NHS | 296.46 | 0 | Yes | Yes | Yes |
| C3NH2 | 5′ Amino-C3 Modifier | 137.07 | 0 | Yes | No | No |
| C5-COOH | Carboxy-Modifier C5 | 180.10 | 0 | Yes | No | No |
| C6NH2 | Aminohexyl, AmC6, Amino modifier C6 | 179.16 | 0 | Yes | Yes | Yes |
| C8Alkyne-dC | C8-Alkyne-dC, 5-Octadiynyl dC | 393.34 | 7,400 | Yes | Yes | Yes |
| C8Alkyne-dT | C8-Alkyne-dT, 5-Octadiynyl dT | 394.32 | 8,700 | Yes | Yes | Yes |
| CalRed610 | 5′ CAL Fluor Red 610 | 636.69 | 18,800 | Yes | No | No |
| Carboxy-C10-N | Carboxy-Modifier C10 NHS | 233.22 | 0 | Yes | Yes | Yes |
| Carboxy-dT | Carboxy-dT | 360.21 | 8,700 | Yes | Yes | Yes |
| cetA | cEt-A | 355.24 | 15,400 | Yes | Yes | Yes |
| cetC | cEt-C | 331.22 | 7,200 | Yes | Yes | Yes |
| cetG | cEt-G | 371.24 | 11,500 | Yes | Yes | Yes |
| cetT | cEt-T | 346.23 | 9,900 | Yes | Yes | Yes |
| cetU | cEt-U | 332.20 | 9,900 | Yes | Yes | Yes |
| Cl-C6-PEG4-NHCO-C3-N | HaloTag NHS | 408.94 | 0 | Yes | Yes | Yes |
| CNVK | 3-Cyanovinylcarbazole (CNVK) | 396.34 | 11,300 | Yes | Yes | Yes |
| C-POEt | dC P-Ethoxy | 317.24 | 7,400 | Yes | Yes | Yes |
| Cy3 | Cyanine 3 , same as 3Cy3 | 506.58 | 4,930 | Yes | Yes | No |
| Cy3.5 | Cyanine 3.5 | 607.71 | 47,489 | Yes | No | Yes |
| Cy3B-Mal | Cy3B Maleimide | 682.79 | 10,400 | Yes | Yes | Yes |
| Cy3B-N | Cy3B NHS | 542.65 | 10,400 | Yes | Yes | Yes |
| Cy5 | Cyanine 5, same as 3Cy5 | 532.62 | 10,000 | Yes | Yes | No |
| Cy5.5 | Cyanine 5.5 | 632.74 | 21,500 | Yes | Yes | Yes |
| Cy5.5-N | Cyanine 5.5 NHS | 565.78 | 21,500 | Yes | Yes | Yes |
| Cy5-DBCO | Cyanine5 DBCO | 783.07 | 10,000 | Yes | Yes | Yes |
| Cy5-Mal | Cyanine 5 Maleimide | 604.79 | 10,000 | Yes | Yes | Yes |
| Cy5-N | Cyanine 5 NHS, N-methyl | 464.65 | 10,000 | Yes | Yes | Yes |
| Cyan5-N | Alternative for Quasar 670, N-ethyl of Cy5 and 3Cy5 | 479.69 | 10,000 | Yes | Yes | Yes |
| Dabcyl-dT | Dabcyl-dT | 709.70 | 29,100 | Yes | No | No |
| Dabsyl-dT | Dabsyl-dT | 591.53 | 29,100 | Yes | No | No |
| Dansyl-N | Dansyl NHS | 346.44 | 12,935 | Yes | Yes | Yes |
| dA-PMe | dA-P-Methyl phosphonate | 311.24 | 15,400 | Yes | Yes | Yes |
| dA-POMe | dA P-Omethyl | 327.23 | 15,400 | Yes | Yes | Yes |
| dAs | dA dithiophosphate | 329.34 | 15,400 | Yes | Yes | Yes |
| DBCO-C4-N | DBCO C4 NHS | 287.32 | 8,000 | Yes | Yes | Yes |
| DBCO-C5-N | DBCO-C5-NHS | 301.35 | 8,000 | Yes | Yes | Yes |
| DBCO-C6-N | DBCO C6 NHS | 315.37 | 8,000 | Yes | Yes | Yes |
| DBCO-CONH-SS-N | DBCO-CONH-S-S-NHS | 450.57 | 0 | Yes | Yes | Yes |
| DBCO-dT | DBCO-dT | 773.78 | 18,800 | Yes | Yes | Yes |
| DBCO-PEG12-N | DBCO PEG12 NHS | 887.02 | 8,000 | Yes | Yes | Yes |
| DBCO-PEG1-CH2CH2COON | DBCO-PEG1-CH2CH2COON | 446.49 | 8,000 | Yes | Yes | Yes |
| DBCO-PEG4-Mal | DBCO-PEG4-Mal | 674.75 | 8,000 | Yes | Yes | Yes |
| DBCO-PEG4-N | DBCO PEG4 NHS | 534.61 | 8,000 | Yes | Yes | Yes |
| DBCO-PEG5-N | DBCO PEG5 NHS | 578.65 | 8,000 | Yes | Yes | Yes |
| DBCO-TEG | 5′ DBCO-TEG | 570.58 | 8,000 | Yes | No | No |
| DCA-AmC7 | Docosanoic acid DCA amino C7 (1,3-diol) | 531.76 | 0 | No | No | Yes |
| DCA-N | Docosahexaenoic Acid NHS | 322.58 | 0 | Yes | Yes | Yes |
| dC-PMe | dC-P-Methyl phosphonate | 287.21 | 7,400 | Yes | Yes | Yes |
| dC-POMe | dC P-Omethyl | 303.21 | 7,400 | Yes | Yes | Yes |
| dCs | dC dithiophosphate | 305.31 | 7,400 | Yes | Yes | Yes |
| ddA | dideoxy A | 297.21 | 15,400 | No | No | Yes |
| ddC | dideoxy C | 273.19 | 7,400 | No | No | Yes |
| ddG | dideoxy G | 313.20 | 11,500 | No | No | Yes |
| ddT | dideoxy T | 288.19 | 8,700 | No | No | Yes |
| deg-dK | dK, purine based universal base with C and T | 358.25 | 7,700 | Yes | Yes | Yes |
| DesthioBiotin-N | Desthiobiotin-NHS | 196.25 | 0 | Yes | Yes | Yes |
| DesthioBiotin-TEG | Desthiobiotin TEG linker | 539.56 | 0 | Yes | Yes | Yes |
| dG-PMe | dG-P-Methyl phosphonate | 327.24 | 11,500 | Yes | Yes | Yes |
| dG-POMe | dG P-OMethyl phosphoramidite | 343.23 | 11,500 | Yes | Yes | Yes |
| dGs | dG dithiophosphate | 345.27 | 11,500 | Yes | Yes | Yes |
| DHA | DHA Acid | 310.49 | 0 | Yes | Yes | Yes |
| DHA-AmC7 | DHA Docosahexaenoic acid modified AmC7(1,3-diol) | 519.65 | 0 | No | No | Yes |
| dI | Deoxy Inosine | 314.19 | 7,500 | Yes | Yes | Yes |
| difC | 2′,2′-difluoro C | 325.16 | 7,200 | Yes | Yes | Yes |
| Digoxigenin-N | Digoxigenin NHS | 543.70 | 0 | Yes | Yes | Yes |
| Dihydro-dU | 5,6-dihydro dU | 292.18 | 8,700 | Yes | Yes | Yes |
| Dihydro-rU | 5,6-dihydro rU | 308.18 | 9,900 | Yes | Yes | Yes |
| DiMe-mA | N6,N6-Dimethyl mA | 371.29 | 15,400 | Yes | Yes | Yes |
| DiMe-rA | N6,N6-Dimethyl rA | 357.26 | 15,400 | Yes | Yes | Yes |
| DIO | Divalent Linker (DIO) , same as Doubler-2 | 330.27 | 0 | No | No | Yes |
| Dithiol-Serinol | Dithiol Serinol Phosphoramidite (DTPA) | 412.46 | 0 | Yes | Yes | Yes |
| dNebularine | Nebularine 2′-deoxy | 298.19 | 15,400 | Yes | Yes | Yes |
| DNP-TEG | DNP-TEG | 509.41 | 0 | Yes | Yes | Yes |
| Doubler | Symmetric Doubler | 351.31 | 0 | Yes | Yes | Yes |
| Doubler-1 | asymmetric doubler | 352.32 | 0 | Yes | Yes | Yes |
| Doubler-2 | Glycerol TEG Doubler, same as DIO | 330.27 | 0 | Yes | Yes | Yes |
| Doubler-3 | levulinyl based asymmetrical branching | 154.06 | 0 | Yes | Yes | Yes |
| Doubler-4 | glycerin based symmetrical branching | 154.06 | 0 | Yes | Yes | Yes |
| dP | dP, pyrimidine based universal base with G and A | 330.23 | 2,900 | Yes | Yes | Yes |
| dSp | dSpacer, Abasic | 180.10 | 0 | Yes | Yes | Yes |
| DSPE-PEG-2000-N | DSPE-PEG(2000) Carboxy NHS | 2,762.40 | 0 | Yes | Yes | Yes |
| dT-PMe | dT-P-Methyl phosphonate | 302.23 | 8,700 | Yes | Yes | Yes |
| dT-POMe | dT P-OMethyl | 318.22 | 8,700 | Yes | Yes | Yes |
| dTs | dT dithiophosphate | 320.32 | 8,700 | Yes | Yes | Yes |
| dU | 2′ deoxy Uridine | 290.17 | 8,700 | Yes | Yes | Yes |
| dU-PMe | dU-P-Methyl phosphonate | 288.23 | 8,700 | Yes | Yes | Yes |
| dUphe | 5-(benzylamino)carbonyl dU | 423.32 | 9,900 | Yes | Yes | Yes |
| dX | deoxy Xanthosine | 330.19 | 11,500 | Yes | Yes | Yes |
| dZ | 5-Nitro dC, Benner’s base | 334.18 | 0 | Yes | Yes | Yes |
| Eclipse | Eclipse Quencher | 537.89 | 6,600 | Yes | Yes | Yes |
| EPA | Eicosapentaenoic acid | 284.44 | 0 | Yes | Yes | Yes |
| ex-fU | 5′-CH2 extended fU | 322.16 | 9,900 | Yes | Yes | Yes |
| ex-mU | 5′-CH2 extended mU | 334.23 | 9,900 | Yes | Yes | Yes |
| fA | fA | 331.20 | 15,400 | Yes | Yes | Yes |
| FAM-dT | FAM dT | 815.71 | 7,100 | Yes | Yes | Yes |
| FANA-A | 2′-F-Arabino A | 331.20 | 15,400 | Yes | Yes | Yes |
| FANA-C | 2′-F-Arabino C | 307.17 | 7,200 | Yes | Yes | Yes |
| FANA-G | 2′-F-Arabino G | 347.20 | 11,500 | Yes | Yes | Yes |
| FANA-I | 2′-F-Arabino I | 332.18 | 7,500 | Yes | Yes | Yes |
| FANA-T | 2′-F-Arabino T | 322.19 | 9,900 | Yes | Yes | Yes |
| FANA-U | 2′-F-Arabino U | 308.16 | 9,900 | Yes | Yes | Yes |
| Faricimab | Faricimab antibody | 146,160.00 | 0 | Yes | Yes | Yes |
| fAs | fA dithiophosphate | 347.26 | 15,400 | Yes | Yes | Yes |
| fC | fC | 307.17 | 7,200 | Yes | Yes | Yes |
| fCs | fC dithiophosphate | 323.24 | 7,200 | Yes | Yes | Yes |
| Ferrocene-dT | Ferrocene-dT | 684.45 | 8,700 | Yes | Yes | Yes |
| Ferrocene-N | Ferrocene NHS | 212.03 | 0 | Yes | Yes | Yes |
| fG | fG | 347.20 | 11,500 | Yes | Yes | Yes |
| fGs | fG dithiophosphate | 363.26 | 11,500 | Yes | Yes | Yes |
| fI | 2′-F inosine | 332.19 | 7,500 | Yes | Yes | Yes |
| Fluor-dT | Fluorescein-dT | 816.71 | 21,800 | Yes | Yes | Yes |
| FITC | fluorescein isothiocyanate | 389.38 | 13,700 | Yes | Yes | Yes |
| Folate-N | Folate NHS | 423.40 | 0 | Yes | Yes | Yes |
| fSp | 2′-F spacer | 198.09 | 0 | Yes | Yes | Yes |
| fT | fT | 322.18 | 9,900 | Yes | Yes | Yes |
| fU | fU | 308.16 | 9,900 | Yes | Yes | Yes |
| fUs | fU dithiophosphate | 324.22 | 9,900 | Yes | Yes | Yes |
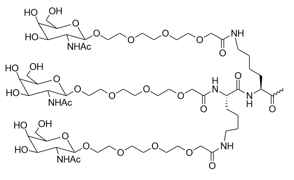
| GalNAc-1 | TriGalNAc C12 linker | 1,819.92 | 0 | No | No | Yes |
| GalNAc-10 | TriGalNAc PEG5 NHS | 1,717.92 | 0 | Yes | No | Yes |
| GalNAc-12 | TriGalNAc C5 linker ended with amine | 10,000.00 | 0 | Yes | Yes | Yes |
| GalNAc-13 | Lysine based TriGalnac with cyclohexane linker | 1,335.30 | 0 | Yes | No | No |
| GalNAc-14 | TriGalNAc C11 linker with internal amide at position 4 | 1,526.74 | 0 | Yes | No | No |
| GalNAc-3 | Lysine based TriGalNAc carboxylic acid | 1,436.53 | 0 | Yes | Yes | Yes |
| GalNAc-5 | TriGalNAc C12 Pyrrolidine, L96 | 1,788.98 | 0 | Yes | Yes | Yes |
| GalNAc-6 | Lysine based TriGalNAc with serinol linker | 1,660.67 | 0 | Yes | Yes | Yes |
| GalNAc-7 | Lysine based TriGalNAc with Amine C7(1,3-diol) linker | 1,645.70 | 0 | Yes | Yes | Yes |
| GalNAc-8 | Lysine based TriGalNAc (GalNAc-3) conjugated to C6NH2 | 1,615.68 | 0 | Yes | No | No |
| GalNAc-9 | TriGalNAc C12 NHS | 1,609.88 | 0 | Yes | Yes | Yes |
| GL2-400GS2 | 2arm branched PEG NHS, MW 40,000 | 40,000.00 | 0 | Yes | Yes | Yes |
| GNA-A | GNA-A | 271.17 | 15,400 | Yes | Yes | Yes |
| GNA-C | GNA-C | 247.15 | 7,200 | Yes | Yes | Yes |
| GNA-G | GNA-G | 287.17 | 11,500 | Yes | Yes | Yes |
| GNA-T | GNA-T | 262.16 | 8,700 | Yes | Yes | Yes |
| GNA-U | GNA-U | 248.13 | 9,900 | Yes | Yes | Yes |
| hnaA | HNA A | 263.26 | 15,400 | Yes | Yes | Yes |
| hnaC | HNA C | 239.23 | 7,200 | Yes | Yes | Yes |
| hnaG | HNA G | 279.26 | 11,500 | Yes | Yes | Yes |
| hnaT | HNA T | 254.24 | 8,700 | Yes | Yes | Yes |
| HEX | 5′-Hexachloro-Fluorescein with C6 linker | 744.13 | 31,600 | Yes | No | No |
| HEX-dT | (SIMA)HEX-dT | 1,037.79 | 38,800 | Yes | Yes | Yes |
| Hexynyl | 5′ Hexynyl, alkynl | 160.11 | 0 | Yes | No | No |
| Int-6FAM | 6-Fluorescein with 1,3-diol linker | 567.13 | 22,500 | Yes | Yes | Yes |
| Int-BHQ-3 | Internal BHQ-3 | 597.62 | 13,000 | Yes | Yes | Yes |
| Int-Biotin | Biotin with AmC7(1,3-diol) linker | 435.48 | 0 | Yes | Yes | Yes |
| Int-Fluorescein | Fluoresceinwith thiourea AmC7 (1,3-diol) linker, same as 3′-Fluorescein | 598.56 | 20,900 | Yes | Yes | Yes |
| Int-SQ-3 | Internal SQ-3 | 597.62 | 13,000 | Yes | Yes | Yes |
| InvAb | Inverted dSpacer, inverted abasic | 180.10 | 0 | Yes | Yes | Yes |
| Inv-dA | Inverted dA | 313.21 | 15,400 | Yes | Yes | Yes |
| Inv-dC | Inverted dC | 289.18 | 7,400 | Yes | Yes | Yes |
| Inv-dG | Inverted dG | 329.21 | 11,500 | Yes | Yes | Yes |
| Inv-dT | Inverted dT | 304.20 | 8,700 | Yes | Yes | Yes |
| Inv-fA | Inverted fA | 331.20 | 15,400 | Yes | Yes | Yes |
| Inv-fC | Inverted fC | 307.18 | 7,200 | Yes | Yes | Yes |
| Inv-fG | Inverted fG | 347.20 | 11,500 | Yes | Yes | Yes |
| Inv-fU | Inverted fU | 308.16 | 9,900 | Yes | Yes | Yes |
| Inv-mA | Inverted mA | 343.24 | 15,400 | Yes | Yes | Yes |
| Inv-mC | Inverted mC | 319.21 | 7,200 | Yes | Yes | Yes |
| Inv-mG | Inverted mG | 359.23 | 11,500 | Yes | Yes | Yes |
| Inv-mU | Inverted mU | 320.19 | 9,900 | Yes | Yes | Yes |
| Inv-moeA | Inverted moeA | 387.29 | 15,400 | Yes | Yes | Yes |
| Inv-5Me-moeC | Inverted 5-Me moeC | 377.29 | 7,200 | Yes | Yes | Yes |
| Inv-moeG | Inverted moeG | 403.29 | 11,500 | Yes | Yes | Yes |
| Inv-moeT | Inverted moeT | 378.27 | 9,900 | Yes | Yes | Yes |
| Inv-rA | Inverted rA | 329.21 | 15,400 | Yes | Yes | Yes |
| Inv-rC | Inverted rC | 305.18 | 7,200 | Yes | Yes | Yes |
| Inv-rG | Inverted rG | 345.21 | 11,500 | Yes | Yes | Yes |
| Inv-rU | Inverted rU | 306.17 | 9,900 | Yes | Yes | Yes |
| IRDye680RD-N | IRDye 680 RD NHS | 844.41 | 23,100 | Yes | Yes | Yes |
| IRDye700 | IRDye 700 | 752.90 | 187,000 | Yes | No | No |
| IRDye700-N | IRdye 700 DX NHS | 1,751.21 | 21,450 | Yes | Yes | Yes |
| IRDye800 | IRDye 800 | 800.00 | 18,000 | Yes | No | No |
| IRDye800CW-Mal | IRDye 800 CW-Mal | 1,125.31 | 18,000 | Yes | Yes | Yes |
| IRDye800CW-N | IRDye 800 CW-N | 985.17 | 18,000 | Yes | Yes | Yes |
| IRDyeQC-1-N | IRDye QC-1 | 1,063.73 | 16,800 | Yes | Yes | Yes |
| isodC | iso-dC | 289.18 | 7,400 | Yes | Yes | Yes |
| isodG | iso-dG | 329.21 | 11,500 | Yes | Yes | Yes |
| iso-GNA-A | iso-GNA-A | 271.17 | 15,400 | No | Yes | Yes |
| iso-GNA-C | iso-GNA-C | 247.15 | 7,200 | Yes | Yes | Yes |
| iso-GNA-G | iso-GNA-G | 287.17 | 11,500 | Yes | Yes | Yes |
| iso-GNA-T | iso-GNA-T | 262.16 | 8,700 | Yes | Yes | Yes |
| JOE | 5′ Dichloro-dimethoxy-Fluorescein II with C6 linker | 666.40 | 20,100 | Yes | No | No |
| L-dA | L-dA, opposite to D configuration | 313.21 | 15,400 | Yes | Yes | Yes |
| L-dC | L-dC, opposite to D configuration | 289.18 | 7,400 | Yes | Yes | Yes |
| L-dG | L-dG, opposite to D configuration | 329.21 | 11,500 | Yes | Yes | Yes |
| L-dT | L-dT, opposite to D configuration | 304.19 | 8,700 | Yes | Yes | Yes |
| LNA-A | LNA-A | 341.22 | 15,400 | Yes | Yes | Yes |
| LNA-G | LNA-G | 357.22 | 11,500 | Yes | Yes | Yes |
| LNA-T | LNA-T | 332.20 | 9,900 | Yes | Yes | Yes |
| LNA-Ts | LNA T dithiophosphate | 348.27 | 9,900 | Yes | Yes | Yes |
| L-rA | L-rA, opposite to D configuration | 329.21 | 15,400 | Yes | Yes | Yes |
| L-rC | L-rC, opposite to D configuration | 305.18 | 7,200 | Yes | Yes | Yes |
| L-rG | L-rG, opposite to D configuration | 345.21 | 11,500 | Yes | Yes | Yes |
| L-rU | L-rU, opposite to D configuration | 306.17 | 9,900 | Yes | Yes | Yes |
| Lumi804-Eu-N | Lumi804-Eu-NHS | 1,177.95 | 21,000 | Yes | Yes | Yes |
| mA | mA | 343.24 | 15,400 | Yes | Yes | Yes |
| mAbasic | 2′-OMe Abasic | 210.13 | 0 | Yes | Yes | Yes |
| Mal-C2-N | Maleimidoacetic acid NHS | 137.09 | 0 | Yes | Yes | Yes |
| Mal-C4-N | 4-Maleimido butyric acid NHS; GMBS | 165.15 | 0 | Yes | Yes | Yes |
| Mal-C6-N | Mal-C6-NHS | 193.20 | 0 | Yes | Yes | Yes |
| Mal-PEG2-N | Mal-PEG2-NHS | 239.23 | 0 | Yes | Yes | Yes |
| Mal-PEG3-N | Mal-PEG3-NHS | 283.28 | 0 | Yes | Yes | Yes |
| Mal-PEG3-N3 | Azido-PEG3-Maleimide | 369.38 | 0 | Yes | Yes | Yes |
| Mal-PEG4-N | Maleimide PEG4 NHS | 327.33 | 0 | Yes | Yes | Yes |
| Mal-PEG5-N | Mal-PEG5-NHS | 371.39 | 0 | Yes | Yes | Yes |
| Mal-propionic-N | 3-Maleimido-propionic NHS | 151.12 | 0 | Yes | Yes | Yes |
| mana-A | 2′-OMe arabinose A | 343.24 | 15,400 | Yes | Yes | Yes |
| mana-C | 2′-OMe arabinose C | 319.21 | 7,200 | Yes | Yes | Yes |
| mana-G | 2′-OMe arabinose G | 359.23 | 11,500 | Yes | Yes | Yes |
| mana-U | 2′-OMe arabinose U | 320.19 | 9,900 | Yes | Yes | Yes |
| mA-PMe | mA P-methyl phosphonate | 341.26 | 15,400 | Yes | Yes | Yes |
| mAs | mA dithiophosphate | 359.30 | 15,400 | Yes | Yes | Yes |
| MB-N | Methylene Blue NHS | 323.41 | 10,300 | Yes | Yes | Yes |
| MBS | m-maleimidobenzoyl NHS | 199.17 | 0 | Yes | Yes | Yes |
| mC | mC | 319.21 | 7,200 | Yes | Yes | Yes |
| mC-PMe | mC P-methyl phosphonate | 317.24 | 7,200 | Yes | Yes | Yes |
| mCs | mC dithiophosphate | 335.27 | 7,200 | Yes | Yes | Yes |
| MC-Val-Cit-PAB-PNP | MC-Val-Cit-PAB-PNP | 598.66 | 0 | Yes | Yes | Yes |
| mDAP | 2′-OMe 2,6-diamino purine | 358.25 | 15,400 | Yes | Yes | Yes |
| Me-5VPmUs | monomethyl on phosphate 5’VP mU dithiophosphate | 426.27 | 9,900 | Yes | No | No |
| Me-PEG4 | Methyl-dPEG4 | 218.25 | 0 | Yes | Yes | Yes |
| Me-Tetrazine | Methyltetrazine PEG4 | 418.45 | 0 | Yes | Yes | Yes |
| Methacrylate-N | Methacrylic acid NHS | 68.08 | 0 | Yes | Yes | Yes |
| mG | mG | 359.23 | 11,500 | Yes | Yes | Yes |
| MGB-BQ2 | 3’MGB-BHQ2 | 1,250.28 | 45,900 | No | No | Yes |
| MGB-EQ | MGB Eclipse | 1,120.56 | 53,500 | No | No | Yes |
| mG-PMe | mG P-methyl phosphonate | 357.26 | 11,500 | Yes | Yes | Yes |
| mG-POEt | mG P-Ethoxy | 387.29 | 11,500 | Yes | Yes | Yes |
| mGs | mG dithiophosphate | 375.30 | 11,500 | Yes | Yes | Yes |
| mI | 2′-OMe-Inosine | 344.22 | 7,500 | Yes | Yes | Yes |
| moeA | MOE-A | 387.29 | 15,400 | Yes | Yes | Yes |
| moeDAP | 2′-moe 2,6-diamino purine | 402.30 | 15,400 | Yes | Yes | Yes |
| moeG | MOE-G | 403.29 | 11,500 | Yes | Yes | Yes |
| moeI | 2′-MOE- inosine | 388.27 | 7,500 | Yes | Yes | Yes |
| moeT | MOE-T | 378.27 | 9,900 | Yes | Yes | Yes |
| moeU | MOE-U | 364.25 | 9,900 | Yes | Yes | Yes |
| MSD-Tag | MSD Ruthenium-based tag with C4 NHS | 651.73 | 11,670 | Yes | Yes | Yes |
| mT | mT | 334.22 | 9,900 | Yes | Yes | Yes |
| mTs | mT dithiophosphate | 350.28 | 9,900 | Yes | Yes | Yes |
| mU | mU | 320.19 | 9,900 | Yes | Yes | Yes |
| mU-PMe | mU P-methyl phosphonate | 318.22 | 9,900 | Yes | Yes | Yes |
| mUs | mU dithiophosphate | 336.25 | 9,900 | Yes | Yes | Yes |
| Myr-N | Myristic Acid (C14), Myristate | 210.37 | 0 | Yes | Yes | Yes |
| N1-Me-dA | N1-Me dA | 327.24 | 15,400 | Yes | Yes | Yes |
| N1-Me-dG | N1-Me-dG | 343.24 | 11,500 | Yes | Yes | Yes |
| N1-Me-rA | N1-Me-A | 343.24 | 15,400 | Yes | Yes | Yes |
| N2-Me-dG | N2-Me dG | 343.24 | 11,500 | Yes | Yes | Yes |
| N3-CNEt-dT | N3-Cyanoethyl-dT | 357.26 | 8,700 | Yes | Yes | Yes |
| N3-CNEt-LNA-T | N3-Cyanoethyl LNA-T | 385.27 | 8,700 | Yes | Yes | Yes |
| N3-CNEt-mU | N3-cyanoethyl mU | 373.26 | 9,900 | Yes | Yes | Yes |
| N3dU | N3 pseudo dU, N3 iso dU | 290.17 | 8,700 | Yes | Yes | Yes |
| N3-Me-C | N3-Methyl-C | 319.21 | 10,000 | Yes | Yes | Yes |
| N3-Me-dT | N3-Me thymidine | 318.22 | 8,700 | Yes | Yes | Yes |
| N6-Me-dA | N6-Me-dA | 327.24 | 15,400 | Yes | Yes | Yes |
| N6-Me-rA | N6-Me-rA | 343.24 | 15,400 | Yes | Yes | Yes |
| NED | 5′ NED | 708.84 | 69,000 | Yes | No | No |
| NH2-PEG12-CO | Fmoc-N-amido-dPEG-TFP ester | 599.72 | 0 | Yes | Yes | Yes |
| NH2-PEG24-N | Fmoc-PEG24-NHS | 1,128.35 | 0 | Yes | Yes | Yes |
| nmaA | 2′-O NMA A | 400.29 | 15,400 | Yes | Yes | Yes |
| nmaG | 2′-O NMA G | 416.29 | 11,500 | Yes | Yes | Yes |
| nmaT | 2′-O NMA T | 391.27 | 9,900 | Yes | Yes | Yes |
| nmaI | NMA Inosine | 401.27 | 7,500 | Yes | Yes | Yes |
| O6-Me-dG | O6-Me-dG | 343.24 | 11,500 | Yes | Yes | Yes |
| Oleic | Oleic acid with AmC7(linear) linker | 443.61 | 0 | Yes | No | No |
| Oleic-N | Oleic acid NHS | 264.45 | 0 | Yes | Yes | Yes |
| Palm-N | Palmitate NHS | 238.42 | 0 | Yes | Yes | Yes |
| PC-Am | PC Amino-Modifier | 371.33 | 0 | Yes | Yes | No |
| PC-azide | PC azide NHS | 525.52 | 0 | Yes | Yes | Yes |
| PC-Biotin | PC Biotin | 597.62 | 0 | Yes | No | Yes |
| PC-Biotin-N | PC Biotin NHS | 725.81 | 0 | Yes | Yes | Yes |
| PC-DCA-AmC7 | Phosphatidylcholine (PC) DCA with AmC7(1,3-diol) linker | 783.97 | 0 | No | No | Yes |
| PC-Linker | PC Linker | 259.15 | 0 | Yes | Yes | Yes |
| pdC | 5-Propynyl dC | 327.23 | 7,400 | Yes | Yes | Yes |
| pdU | 5-Propynyl dU | 328.22 | 8,700 | Yes | Yes | Yes |
| PEG5K-Mal | PEG5K maleimide | 5,000.00 | 0 | Yes | Yes | Yes |
| Phos | Phosphate | 79.98 | 0 | Yes | No | Yes |
| PipZin | PMO 5′ Piperazine | 175.17 | 0 | No | Yes | Yes |
| PMO-A | Morpholino-A | 339.30 | 12,500 E265 nm 0.1M HCl | Yes | Yes | Yes |
| PMO-C | Morpholino-C | 315.27 | 8,700
E265 nm 0.1M HCl | Yes | Yes | Yes |
| PMO-G | Morpholino-G | 355.29 | 9,900
E265 nm 0.1M HCl | Yes | Yes | Yes |
| PMO-T | Morpholino-T | 330.28 | 9,700
E265 nm 0.1M HCl | Yes | Yes | Yes |
| PNA-A | Peptide nucleic acid A | 275.27 | 15,400 | Yes | Yes | Yes |
| PNA-C | Peptide nucleic acid C | 251.25 | 7,400 | Yes | Yes | Yes |
| PNA-G | Peptide nucleic acid G | 291.27 | 11,500 | Yes | Yes | Yes |
| PNA-T | Peptide nucleic acid T | 266.26 | 8,700 | Yes | Yes | Yes |
| PP | Diphosphate | 159.96 | 0 | Yes | No | No |
| PPP | Triphosphate | 239.94 | 0 | Yes | No | No |
| Propargyl-PEG1-N | Propargyl-PEG1-NHS, fragment of Alkyne | 110.11 | 0 | Yes | Yes | Yes |
| Psd-dU | pseudo dU | 290.17 | 8,700 | Yes | Yes | Yes |
| Psd-rU | Pseudo ribo Uridine | 306.17 | 9,900 | Yes | Yes | Yes |
| r2amP | 2-aminopurine 2′-OH | 329.21 | 15,400 | Yes | Yes | Yes |
| rA | rA | 329.21 | 15,400 | Yes | Yes | Yes |
| Ranibizumab | VEGF-A antagonist | 48,350.00 | 0 | Yes | Yes | Yes |
| rAs | rA dithiophosphate | 345.27 | 15,400 | Yes | Yes | Yes |
| rC | rC | 305.18 | 7,200 | Yes | Yes | Yes |
| rCs | rC dithiophosphate | 321.24 | 7,200 | Yes | Yes | Yes |
| rDAP | 2,6-diamino purine, 2′-OH | 344.22 | 15,400 | Yes | Yes | Yes |
| rG | rG | 345.21 | 11,500 | Yes | Yes | Yes |
| rGs | rG dithiophosphate | 361.27 | 11,500 | Yes | Yes | Yes |
| rI | ribo Inosine | 330.19 | 7,500 | Yes | Yes | Yes |
| rSp | 2′-OH spacer | 196.09 | 0 | Yes | Yes | Yes |
| rU | rU | 306.17 | 9,900 | Yes | Yes | Yes |
| rUs | rU dithiophosphate | 322.23 | 9,900 | Yes | Yes | Yes |
| Sarcosine | PMO 5′ sarcosine | 177.14 | 0 | Yes | No | No |
| s-Cy5-N | Sulfo-Cy5 NHS | 623.76 | 35,230 | Yes | Yes | Yes |
| Ser-A | A-Serinol | 328.22 | 15,400 | Yes | Yes | Yes |
| Ser-C | C-Serinol | 304.20 | 7,400 | Yes | Yes | Yes |
| Ser-G | G-Serinol | 344.22 | 11,500 | Yes | Yes | Yes |
| Ser-T | T-Serinol | 319.21 | 8,700 | Yes | Yes | Yes |
| SIMA | SIMA, spectrascopically identical to HEX | 758.54 | 31,600 | Yes | No | No |
| SMCC | SMCC-Mal NHS | 219.24 | 0 | Yes | Yes | Yes |
| SMPT | SMPT, 4-succinimidyloxycarbonyl-alpha-methyl-alpha(2-pyridyldithio)toluene | 273.37 | 0 | Yes | Yes | Yes |
| Sp12 | TetraEthyloxy Glycol(TEG) Spacer | 256.19 | 0 | Yes | Yes | Yes |
| Sp18 | Spacer 18 | 344.30 | 0 | Yes | Yes | Yes |
| Sp9-PipZin | PMO 5′ Sp9 +piperazine | 351.34 | 0 | Yes | No | No |
| Sp9 | Spacer 9 | 212.14 | 0 | Yes | Yes | Yes |
| SpC12 | Spacer C12 | 264.30 | 0 | Yes | Yes | Yes |
| SpC3 | Propane diol, C3 Spacer | 138.06 | 0 | Yes | Yes | Yes |
| SpC4 | Butane diol, C4 Spacer | 152.09 | 0 | Yes | Yes | Yes |
| SpC6 | Hexane diol, spacer C6 | 180.14 | 0 | Yes | Yes | Yes |
| SpC9 | Nonane diol, spacer C9 | 222.22 | 0 | Yes | Yes | Yes |
| SPDB-N | SPDB NHS | 211.30 | 0 | Yes | Yes | Yes |
| SPDP-N | SPDP NHS | 197.27 | 0 | Yes | Yes | Yes |
| SpPC | PC Spacer | 344.26 | 0 | Yes | Yes | Yes |
| SQ-1 | 3′ SQ-1 and internal SQ-1 | 554.50 | 8,000 | Yes | Yes | Yes |
| SQ-1-dT | SQ-1 dT | 960.94 | 17,650 | Yes | Yes | Yes |
| SQ-1-N | SQ-1 NHS | 487.54 | 8,000 | Yes | Yes | Yes |
| SQ-2 | SQ-2 | 556.47 | 8,000 | Yes | Yes | Yes |
| SQ-2-dT | SQ-2 dT | 962.91 | 17,650 | Yes | Yes | Yes |
| SQ-3 | SQ-3 | 597.64 | 13,000 | Yes | Yes | Yes |
| SQ-3-N | SQ-3 NHS | 529.67 | 13,000 | Yes | Yes | Yes |
| SQ-3-DBCO | SQ-3 DBCO | 956.14 | 13,000 | Yes | Yes | Yes |
| SQRed610 | 5′ SQ Red 610 | 636.69 | 18,800 | Yes | No | No |
| SQ650 | SQ-650 | 665.65 | 15,077 | Yes | No | No |
| Stearyl | Stearyl, C18 | 332.46 | 0 | Yes | Yes | Yes |
| TAMRA | TAMRA with AmC7(1,3-diol) linker | 621.63 | 29,100 | Yes | No | No |
| TAMRA-dT | TAMRA-dT | 870.85 | 0 | Yes | Yes | Yes |
| TAMRA-N | TAMRA-NHS | 412.45 | 29,100 | Yes | Yes | Yes |
| tCo | tricyclic, 1,3-Diaza-2-Oxophenoxazine | 379.26 | 11,000 | Yes | Yes | Yes |
| tC-nitro | tricyclic nitro | 440.32 | 0 | Yes | Yes | Yes |
| TCO-N | TCO NHS | 152.19 | 0 | Yes | Yes | Yes |
| TCO-PEG12-N | TCO PEG12 NHS | 751.91 | 0 | Yes | Yes | Yes |
| TCO-PEG4-N | TCO PEG4 NHS | 399.48 | 0 | Yes | Yes | Yes |
| TEG-Chol | Cholesteryl-TEG 3/5DMT | 755.97 | 0 | Yes | Yes | Yes |
| TET | 5′ Tetrachloro-Fluorescein | 674.22 | 16,300 | Yes | No | No |
| Tetrazine-PEG5-N | Tetrazine PEG5 NHS | 489.53 | 0 | Yes | Yes | Yes |
| Tetrazin-N | Tetrazine NHS | 198.19 | 0 | Yes | Yes | Yes |
| TexasRed-N | Texas Red NHS | 701.85 | 14,400 | Yes | Yes | Yes |
| Thiol-C3-SH | Thiol C3 | 154.12 | 0 | Yes | Yes | Yes |
| Thiol-C3-S-S | Thiol C3 disulfide | 244.26 | 0 | Yes | Yes | Yes |
| Thiol-C6-dT | Thiol modifier C6 dT | 546.53 | 8,700 | Yes | Yes | Yes |
| Thiol-C6-SH | Thiol Modifier C6 SH | 196.20 | 0 | Yes | Yes | Yes |
| Thiol-C6-S-S | Thiol Modifier C6 S-S | 328.42 | 0 | Yes | Yes | Yes |
| tmbtm-A | 2’O TMBTM A | 555.50 | 15,400 | Yes | Yes | Yes |
| tmbtm-C | 2’O TMBTM C | 531.47 | 7,200 | Yes | Yes | Yes |
| tmbtm-G | 2’O TMBTM G | 571.50 | 11,500 | Yes | Yes | Yes |
| tmbtm-U | 2’O TMBTM U | 532.46 | 9,900 | Yes | Yes | Yes |
| TNA-A | TNA A | 299.18 | 15,400 | Yes | Yes | Yes |
| TNA-C | TNA C | 275.16 | 7,400 | Yes | Yes | Yes |
| TNA-G | TNA G | 315.18 | 11,500 | Yes | Yes | Yes |
| TNA-T | TNA T | 290.17 | 8,700 | Yes | Yes | Yes |
| TNA-U-Bz | TNA U Bz | 395.26 | 9,900 | Yes | Yes | Yes |
| Tocopherol-TEG | Tocopherol-TEG 3/5DMT | 698.92 | 0 | Yes | Yes | Yes |
| T-POEt | dT P-ethoxy | 332.25 | 8,700 | Yes | Yes | Yes |
| Trebler-l | Trebler long arm | 430.43 | 0 | Yes | Yes | Yes |
| Trebler-s | Trebler short arm | 372.35 | 0 | Yes | Yes | Yes |
| UNA-A | UNA-A | 331.22 | 15,400 | Yes | Yes | Yes |
| UNA-C | UNA-C | 307.20 | 7,200 | Yes | Yes | Yes |
| UNA-G | UNA-G | 347.22 | 11,500 | Yes | Yes | Yes |
| UNA-U | UNA-U | 308.18 | 9,900 | Yes | Yes | Yes |
| Val-Cit-PAB-PNP | Fmoc Val-Cit-PAB-PNP | 405.46 | 0 | Yes | Yes | Yes |
| VIC | VIC | 745.90 | 97,000 | Yes | Yes | Yes |
| VIC-N | VIC NHS | 537.73 | 97,000 | Yes | Yes | Yes |
| Yakima-Yellow | Yakima Yellow | 717.31 | 23,700 | Yes | No | Yes |
| Z | Spermine | 408.52 | 0 | Yes | Yes | Yes |
Trademarks & Disclaimers:
All product and brand names mentioned are trademarks or registered trademarks of their respective holders.
Alexa Fluor® dyes are registered trademarks of Molecular Probes, Inc.
ATTO™ Dyes are registered trademarks of ATTO Technology Inc.
Black Hole Quencher®, BHQ-1®, BHQ-2®, BHQ-dT®,and Quasar® are registered trademarks of Biosearch Technologies, Inc.
Cy3®, Cy5®, and Cy5.5® are registered trademarks of GE Healthcare.
FAM™, HEX™, ROX™, TAMRA™, JOE™, NED™ and VIC™ are trademarks of Applied Biosystems, a brand of Thermo Fisher Scientific.
LNA® is registered trademark of Exiqon A/S.
MGB™ is a trademark of Epoch Biosciences.
IRDye is a registered trademark of Li-COR Biosciences.
Eclipse™ Quencher and Super T are registered trademarks of ElitechGroup, Inc.
SNAP-tag® is a registered trademark of New England Biolabs, Inc
HaloTag® is a registered trademark of Promega Corporation.
Acrydite® is a registered trademark of Mosaic Technologies Corp.
MSD Tag® is a registered trademark of Meso Scale Diagnostics LLC.
Notes:
- All codes need to be in a parenthesis, except A, C, G, T (for DNA), rA, rC, rG, rU (for RNA), mA, mC, mG, mU (for 2′-OMe), and fA, fC, fG, fU (for 2′-F). For example: (LNA-A)AmC fGrU(dU) (mT)*(moeA)(cetG) (FANA-C)(GNA-A)(fAs)* (5Me-dC)(G-Mesyl)A
- The default backbone linkage between two modification codes is phosphodiester, except * for phosphorothioate and dithiophosphate, e.g., GCT (dAs)*C*G* TCA and ^ for linkage made by post-synthesis conjugation, e.g., (TCO-N)^(C6NH2)A CGT.
- This table never includes Customer proprietary codes. If you are the owner of a code, feel free to use it in the sequence.
- New Mod is added regularly. If you don’t see the Mod code you need, please let us know by email at oligosales@synoligo.com.